Frauenhygiene-Artikel… Notnagel oder echte Alternative

Warnung: Das Lesen dieses Artikels kann vereinzelt zu Kopfkino führen!
Ab und an konnte man lesen, dass Dampfern, die mit Microcoil und Watte anfangen wollten und die gerade keine Packung Bio-Baumwoll-Watte im Haus hatten, die Zweckentfremdung von Q-Tips oder Tampons empfohlen wurde. Der Hinweis auf den Tampon wurde meist sehr schnell niedergeschlagen… es kamen Argumente, wie „Igitt!“ und „Die sind imprägniert, damit sie saugstark sind…“
Doch vor kurzer Zeit stolperte ich im Fratzenbuch erneut über das Torpedo mit der blauen Schnur. Da hatte jemand eine ganz tolle Tasche designt, in der er seine Wickelutensilien mitführen kann. Und da waren auch Taschen drin, die zur Aufnahme von Tampons dienten. Logisch, dass da ganz schnell die Frage kam: „Wozu denn Tampons?“ Nun, die Antwort war, dass der Bastler die Tampon-Watte zur Bestückung seiner Wicklungen verwendet. Erneut kam die Igitt-Geschichte und der häufig geäußerte Hinweis, man solle keine gebrauchten verwenden. Aber der Dampfer meinte das ernst! Warum auch nicht. Dann wurde noch philosophiert, das man, wenn man schon Tampons verwenden würde, es doch unbedingt Bio-Tampons aus Bio-Baumwolle sein sollten… nun, nix neuen. Gab sogar Kaufempfehlungen für ökologisch unbedenkliche Stöpsel.
Jedenfalls führte das dazu, dass ich einmal genauer über die Sache nachgedacht habe. Warum denn nun Tampons schlachten? Man kann sich doch auch ein kleines Tütchen normale Kosmetik-Watte abfüllen. Die nimmt doch auch kaum Platz weg. Es muss doch einen Grund geben, weshalb er auf der Tampon-Watte beharrte. Was macht der moderne Mann in solch einem Fall? Er macht sich schlau über Tampons. Ein spannendes Abenteuer. Die schlichte Gockelei danach führt einen zu unzähligen Bildergeschichten über das korrekte Einführen von Tampons. Aber ich weiß ja, wie ich nach speziellen Informationen suchen muss. Und so habe ich mich auf dem Gebiet der Frauenhygiene fortgebildet.
Und jetzt mal ein Experiment! Wer einen Tampon in der Handtasche hat oder seiner Frau einen klauen kann, nimmt sich rasch mal einen zur Hand. Dazu eine Nagelschere. Nun wird er tranchiert wie die Weihnachtsgans… schön der Länge nach… möglichst nur die äußere verdichtete Hülle aufschneiden und dann wie eine Roulade rückwärts aufrollen. Schon an diesem Punkt fällt auf, dass die innen liegende Watte irgendwie in recht langen Fasern in Längsrichtung ausgerichtet zu sein scheint. Nun mit spitzen Fingern (oder den Fingerspitzen) einfach mal einen Strang heraus ziehen. Das geht ja voll leicht…. und das gibt einen schönen, gleichmäßig dicken langen Strang. Und nun die Kosmetik-Watte zur Hand nehmen, die man sonst verwendet. Um da solch einen gleichmäßigen Strang zu bekommen, muss man ein Stück abreißen oder schneiden… und dann das ganze schön vorsichtig in die Länge ziehen. Immer wieder nach zupfen, weil es doch ein paar dickere Knubbel im Verlauf des Strangs gibt. Übrigens… wenn man keine Baumwoll-Watte, sondern Viskose-Watte hat, ist das schon ein wenig einfacher, weil die Fasern bei dieser Watte länger sind.

Woran liegt denn nun dieser Unterschied? Das ist kein großes Geheimnis. Bei der Kosmetik-Watte liegen die Fasern mehr oder weniger kreuz und quer durcheinander. Es ist ja auch egal, Hauptsache sie hält zusammen. Im Tampon hingegen sind die Fasern größtenteils in Längsrichtung parallel zu einander ausgerichtet. Und deshalb lässt sich so ein schöner gleichmäßiger Strang herauspopeln. Warum das so ist, kann man nachlesen oder durch Nachdenken sogar selbst herausfinden. Die Watte nimmt ja die Flüssigkeit auf (das, was wir für unsere Zwecke auch brauchen). Aber die Flüssigkeit verschwindet nun nicht in den einzelnen Fasern, sondern wird zwischen den Fasern gehalten. Die Watte quillt…Wetten, dass? Liegen die Fasern kreuz und quer, quillt sie halbwegs gleichmäßig in allen Raumdimensionen. Das ist bei Kosmetik-Watte ja auch ok… bei einem Tampon aber nicht erwünscht. Der soll möglichst nur in der Breite aufquellen… nicht, dass der Dame ein drittes Bein wächst und sie aussieht, wie ein Travestie-Künstler, der sein Patengeschenk nicht richtig weg gesteckt hat. Um ihn mehr in die Breite anstatt in die Länge quellen zu lassen, müssen die Fasern hauptsächlich parallel in Längsrichtung ausgerichtet sein… so einfach ist das.
Dass in einem Tampon irgendwelche Granulate sind, die Flüssigkeit binden ist ein Irrglaube. Da verwechselt man dann Tampons mit Binden oder Höschenwindeln. Nahezu alle auf dem Markt befindlichen Tampons bestehen aus Watte. Die normalen Tampons (wie die des Marktführers, dessen Werbespruch ich mir zum Teil ausgeliehen habe) bestehen aus einem Gemisch aus Baumwoll-Watte und Viskose-Watte (wegen der längeren Faser-Stränge). Man muss nur darauf achten, unbehandelte bzw. unparfümierte zu erwerben. Es gibt nämlich welche mit Kamille-Extrakt, Aloe Vera oder Lavendel-Duft (als würde das wirklich was nützen… wenn es unangenehm riecht, ist es höchste Zeit für den Wechsel). Davon müssen wir natürlich die Finger lassen. Manche Hersteller werben mit besonders leichter Einführbarkeit und verwenden Worte, die vermuten lassen, es könne Seide im oder um den Tampon sein. Das ist aber nicht so. Die Oberfläche dieser Artikel wird einfach so gepresst und geglättet, dass sie sehr glatt ist und sich beinahe seidig anfühlt. Aber man bekommt trotzdem nur Zellulose. Die meisten Hersteller rühmen sich außerdem, Watte in Arzneibuch-Qualität zu verwenden. Sorgen um schädliche Fremdstoffe braucht man sich dann nicht zu machen.
Ich habe für mich jedenfalls festgestellt, dass Tampons wahrlich hervorragende Watte-Spender zum Wickeln sind. Die Watte lässt sich extrem gut portionieren und man hat nahezu immer sehr gleichmäßig dicke und dichte Stränge. Durch den Viskose-Anteil der Marke meiner Wahl neigt sie auch nicht dazu, bei Ziehen irgendwo in der Mitte durch zu reißen. Ich habe zwar noch das Tütchen mit der Kosmetik-Watte im Wickel-Köfferchen… aber die benutze ich nicht mehr… eigentlich kann sie raus. Was ich benutze sind die geschlachteten Tampons!

Nun aber unbedingt noch ein paar Ausführungen zur „bösen“ Viskose. Nach wie vor ist die Meinung weit verbreitet, Viskose würde sich nicht als Liquid-Faser im Verdampfer eignen. Das liegt daran, dass Viskose eine Kunstfaser ist. Und beim Wort Kunstfaser, denken viele sofort an Nylon oder Polyethylen und ähnliche Kunststoffe… vor ihrem geistigen Auge läuft der Film vom Wohnungsbrand in dem Zimmer mit den Styroporplatten ab… die Luft ist geschwängert von giftigem Rauch.
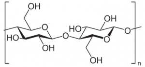
Und tatsächlich… Viskose ist eine Kunstfaser… aber keine petrochemische… sie ist eine Kunstfaser aus natürlichen Rohstoffen. Gewonnen wird sie aus pflanzlichen Fasern, aus denen die Zellulose heraus gelöst und diese dann zu längeren Strängen zusammen gesetzt wird. Daraus werden dann Fasern gesponnen. Das chemische Verfahren ist bezüglich der Abfall-Produkte sicher nicht unproblematisch, aber was als Produkt heraus kommt, ist im Endeffekt nichts anderes als andere Fasern aus Zellulose. Unsere beliebte Baumwolle besteht auch aus Zellulose. Viskose-Watte besteht, wie bereits erwähnt, aus längeren Fasern, als Baumwoll-Watte. Ihr Zündungspunkt liegt auf dem Niveau der Baumwolle, was aber ohne wirkliche Bedeutung ist, denn 3börn-fest ist sie nicht. Wenn sie verbrennt, entstehen die selben Verbrennungsprodukte, wie beim Abfackeln von Baumwoll-Watte. Es gibt also wirklich keinen Grund, Viskose zu verteufeln oder zu behaupten, sie dürfe nicht als Faser im Verdampfer eingesetzt werden. Im Übrigen ist die gerade so beliebte Bambus-Schnur ebenfalls eine Viskose-Faser. Bei ihr wird als Rohstoff Bambus verwendet… es ist aber faktisch trotzdem eine Kunstfaser, die sich auch nicht wirklich von anderen Viskose-Fasern unterscheidet.


Warnung: Das Lesen dieses Artikels kann vereinzelt zu Kopfkino führen!
Ab und an konnte man lesen, dass Dampfern, die mit Microcoil und Watte anfangen wollten und die gerade keine Packung Bio-Baumwoll-Watte im Haus hatten, die Zweckentfremdung von Q-Tips oder Tampons empfohlen wurde. Der Hinweis auf den Tampon wurde meist sehr schnell niedergeschlagen… es kamen Argumente, wie „Igitt!“ und „Die sind imprägniert, damit sie saugstark sind…“
Doch vor kurzer Zeit stolperte ich im Fratzenbuch erneut über das Torpedo mit der blauen Schnur. Da hatte jemand eine ganz tolle Tasche designt, in der er seine Wickelutensilien mitführen kann. Und da waren auch Taschen drin, die zur Aufnahme von Tampons dienten. Logisch, dass da ganz schnell die Frage kam: „Wozu denn Tampons?“ Nun, die Antwort war, dass der Bastler die Tampon-Watte zur Bestückung seiner Wicklungen verwendet. Erneut kam die Igitt-Geschichte und der häufig geäußerte Hinweis, man solle keine gebrauchten verwenden. Aber der Dampfer meinte das ernst! Warum auch nicht. Dann wurde noch philosophiert, das man, wenn man schon Tampons verwenden würde, es doch unbedingt Bio-Tampons aus Bio-Baumwolle sein sollten… nun, nix neuen. Gab sogar Kaufempfehlungen für ökologisch unbedenkliche Stöpsel.
Jedenfalls führte das dazu, dass ich einmal genauer über die Sache nachgedacht habe. Warum denn nun Tampons schlachten? Man kann sich doch auch ein kleines Tütchen normale Kosmetik-Watte abfüllen. Die nimmt doch auch kaum Platz weg. Es muss doch einen Grund geben, weshalb er auf der Tampon-Watte beharrte. Was macht der moderne Mann in solch einem Fall? Er macht sich schlau über Tampons. Ein spannendes Abenteuer. Die schlichte Gockelei danach führt einen zu unzähligen Bildergeschichten über das korrekte Einführen von Tampons. Aber ich weiß ja, wie ich nach speziellen Informationen suchen muss. Und so habe ich mich auf dem Gebiet der Frauenhygiene fortgebildet.
Und jetzt mal ein Experiment! Wer einen Tampon in der Handtasche hat oder seiner Frau einen klauen kann, nimmt sich rasch mal einen zur Hand. Dazu eine Nagelschere. Nun wird er tranchiert wie die Weihnachtsgans… schön der Länge nach… möglichst nur die äußere verdichtete Hülle aufschneiden und dann wie eine Roulade rückwärts aufrollen. Schon an diesem Punkt fällt auf, dass die innen liegende Watte irgendwie in recht langen Fasern in Längsrichtung ausgerichtet zu sein scheint. Nun mit spitzen Fingern (oder den Fingerspitzen) einfach mal einen Strang heraus ziehen. Das geht ja voll leicht…. und das gibt einen schönen, gleichmäßig dicken langen Strang. Und nun die Kosmetik-Watte zur Hand nehmen, die man sonst verwendet. Um da solch einen gleichmäßigen Strang zu bekommen, muss man ein Stück abreißen oder schneiden… und dann das ganze schön vorsichtig in die Länge ziehen. Immer wieder nach zupfen, weil es doch ein paar dickere Knubbel im Verlauf des Strangs gibt. Übrigens… wenn man keine Baumwoll-Watte, sondern Viskose-Watte hat, ist das schon ein wenig einfacher, weil die Fasern bei dieser Watte länger sind.

Woran liegt denn nun dieser Unterschied? Das ist kein großes Geheimnis. Bei der Kosmetik-Watte liegen die Fasern mehr oder weniger kreuz und quer durcheinander. Es ist ja auch egal, Hauptsache sie hält zusammen. Im Tampon hingegen sind die Fasern größtenteils in Längsrichtung parallel zu einander ausgerichtet. Und deshalb lässt sich so ein schöner gleichmäßiger Strang herauspopeln. Warum das so ist, kann man nachlesen oder durch Nachdenken sogar selbst herausfinden. Die Watte nimmt ja die Flüssigkeit auf (das, was wir für unsere Zwecke auch brauchen). Aber die Flüssigkeit verschwindet nun nicht in den einzelnen Fasern, sondern wird zwischen den Fasern gehalten. Die Watte quillt…Wetten, dass? Liegen die Fasern kreuz und quer, quillt sie halbwegs gleichmäßig in allen Raumdimensionen. Das ist bei Kosmetik-Watte ja auch ok… bei einem Tampon aber nicht erwünscht. Der soll möglichst nur in der Breite aufquellen… nicht, dass der Dame ein drittes Bein wächst und sie aussieht, wie ein Travestie-Künstler, der sein Patengeschenk nicht richtig weg gesteckt hat. Um ihn mehr in die Breite anstatt in die Länge quellen zu lassen, müssen die Fasern hauptsächlich parallel in Längsrichtung ausgerichtet sein… so einfach ist das.
Dass in einem Tampon irgendwelche Granulate sind, die Flüssigkeit binden ist ein Irrglaube. Da verwechselt man dann Tampons mit Binden oder Höschenwindeln. Nahezu alle auf dem Markt befindlichen Tampons bestehen aus Watte. Die normalen Tampons (wie die des Marktführers, dessen Werbespruch ich mir zum Teil ausgeliehen habe) bestehen aus einem Gemisch aus Baumwoll-Watte und Viskose-Watte (wegen der längeren Faser-Stränge). Man muss nur darauf achten, unbehandelte bzw. unparfümierte zu erwerben. Es gibt nämlich welche mit Kamille-Extrakt, Aloe Vera oder Lavendel-Duft (als würde das wirklich was nützen… wenn es unangenehm riecht, ist es höchste Zeit für den Wechsel). Davon müssen wir natürlich die Finger lassen. Manche Hersteller werben mit besonders leichter Einführbarkeit und verwenden Worte, die vermuten lassen, es könne Seide im oder um den Tampon sein. Das ist aber nicht so. Die Oberfläche dieser Artikel wird einfach so gepresst und geglättet, dass sie sehr glatt ist und sich beinahe seidig anfühlt. Aber man bekommt trotzdem nur Zellulose. Die meisten Hersteller rühmen sich außerdem, Watte in Arzneibuch-Qualität zu verwenden. Sorgen um schädliche Fremdstoffe braucht man sich dann nicht zu machen.
Ich habe für mich jedenfalls festgestellt, dass Tampons wahrlich hervorragende Watte-Spender zum Wickeln sind. Die Watte lässt sich extrem gut portionieren und man hat nahezu immer sehr gleichmäßig dicke und dichte Stränge. Durch den Viskose-Anteil der Marke meiner Wahl neigt sie auch nicht dazu, bei Ziehen irgendwo in der Mitte durch zu reißen. Ich habe zwar noch das Tütchen mit der Kosmetik-Watte im Wickel-Köfferchen… aber die benutze ich nicht mehr… eigentlich kann sie raus. Was ich benutze sind die geschlachteten Tampons!

Nun aber unbedingt noch ein paar Ausführungen zur „bösen“ Viskose. Nach wie vor ist die Meinung weit verbreitet, Viskose würde sich nicht als Liquid-Faser im Verdampfer eignen. Das liegt daran, dass Viskose eine Kunstfaser ist. Und beim Wort Kunstfaser, denken viele sofort an Nylon oder Polyethylen und ähnliche Kunststoffe… vor ihrem geistigen Auge läuft der Film vom Wohnungsbrand in dem Zimmer mit den Styroporplatten ab… die Luft ist geschwängert von giftigem Rauch.
Und tatsächlich… Viskose ist eine Kunstfaser… aber keine petrochemische… sie ist eine Kunstfaser aus natürlichen Rohstoffen. Gewonnen wird sie aus pflanzlichen Fasern, aus denen die Zellulose heraus gelöst und diese dann zu längeren Strängen zusammen gesetzt wird. Daraus werden dann Fasern gesponnen. Das chemische Verfahren ist bezüglich der Abfall-Produkte sicher nicht unproblematisch, aber was als Produkt heraus kommt, ist im Endeffekt nichts anderes als andere Fasern aus Zellulose. Unsere beliebte Baumwolle besteht auch aus Zellulose. Viskose-Watte besteht, wie bereits erwähnt, aus längeren Fasern, als Baumwoll-Watte. Ihr Zündungspunkt liegt auf dem Niveau der Baumwolle, was aber ohne wirkliche Bedeutung ist, denn 3börn-fest ist sie nicht. Wenn sie verbrennt, entstehen die selben Verbrennungsprodukte, wie beim Abfackeln von Baumwoll-Watte. Es gibt also wirklich keinen Grund, Viskose zu verteufeln oder zu behaupten, sie dürfe nicht als Faser im Verdampfer eingesetzt werden. Im Übrigen ist die gerade so beliebte Bambus-Schnur ebenfalls eine Viskose-Faser. Bei ihr wird als Rohstoff Bambus verwendet… es ist aber faktisch trotzdem eine Kunstfaser, die sich auch nicht wirklich von anderen Viskose-Fasern unterscheidet.

