Selbstwickeln für Rookies
Ja… ein Anglizismus… versuche ich eigentlich zu vermeiden, wenn es geht… aber… „Selbstwickeln für Dummies“ klingt eher abwertend… neee… das passt nicht.
Hier soll es um genau das gehen, was ich in meinem Artikel „Selbstwickeln tot?“ am Ende geschrieben habe: der einfache Einstieg ins Selbstwickeln.
Vorneweg ein paar…
Hinweise und „historische“ Betrachtungen
In meinen Augen ist es technisch gesehen heute wesentlich einfacher in die Selbstwickelei einzusteigen, als es noch vor zehn Jahren war. Und damit meine ich nicht die bessere Verfügbarkeit von Selbstwickelatomizern, sonder die relativ ausentwickelte Technik, die Flexibilität und Leistungsfähigkeit moderner geregelter Akkuträger und die Tatsache, dass heute als Trägermaterial fast nur noch Watte zum Einsatz kommt.
In den Anfängen der Selbstwickelei war Glasfaserschnur das Liquidträgermaterial der Wahl. Man wickelte dabei direkt auf dem Trägermaterial, also dem Docht und es kam recht dünner Heizdraht zur Anwendung. Die angestrebten Widerstände lagen dann meist auch so zwischen 2 und 2.5 Ohm. Die wurden dann mit ungeregelten (mechanischen) Akkuträgern, Kombiakkus oder einfachen geregelten Akkuträgern befeuert… MTL bei mäßiger Leistung.

Die ungeregelten (meist mechanischen) Akkuträger brachten bei den ersten Zügen knapp 4.2 Volt, was sich dann aber recht schnell bei ca. 3.7 Volt einpendelte, bis die Spannung weiter in den Keller ging und der Akku zeitnah aufgeladen werden musste.
Das waren dann anfänglich so um die 7 Watt… und im eigentlichen Betrieb noch um die 5.5 Watt. Nicht viel. Und um da keinen Liquidabriss zu haben (also den Effekt, dass der Docht trocken lief), kam man mit Glasfaserschnur sehr gut zurande. Allerdings war das Wickeln damit schon eine extreme Erfahrungssache. Man nahm die Glasfaser (meist mehrfache Stränge und legte sie z.B. auf einen Nagel. Um dieses Paket wurde dann herumgewickelt. Wie stramm man das machen durfte, dafür musste man im Versuch-und-Irrtum-Verfahren erst mühsam ein Gefühl entwickeln. Der Nagel erleichterte das Wickeln um die wabbelige Glasfaserschnur, aber er sorgte nicht unbedingt dafür, dass die Wicklung nach Entnahme des Nagels auch locker genug, aber trotzdem ausreichend fest anliegend war. Hat man zu stramm gewickelt, dann wurde die Faser zu sehr gequetscht und es konnte nicht schnell genug ausreichend Liquid an die Coil gelangen… sogar bei nur 5.5 Watt. Es „kokelte“ (der Vorteil von Glasfaser war allerdings, dass sie nicht „verbrannte“. Die Wicklung war trotzdem nicht weiter nutzbar.)…
2014 kam dann so langsam Watte als Liquidträger auf. Ursprünglicher Grund dafür war das in Mode gekommene Dampfen im Pinoy-Stil (Dampfen direkt auf Lunge mit hoher Leistung, um gigantische Dampfwolken zu erzeugen). Das wurde überwiegend mit Tröpfelverdampfern praktiziert. Logisch… war auch einfacher, weil das Liquid da keine Wege zurücklegen musste. Aber der Wunsch, solche Wolken auch mit Tankverdampfern zu produzieren, wurde größer. Und mit Glasfaser war das nicht machbar. Das Liquid kam einfach nicht schnell genug an die Wicklung.
Während in der Vor-DL-Ära eher dünne Widerstandsdrähte verwendet wurden (um den relativ hohen Widerstand der Coil mit nicht zu vielen Windungen zu erreichen), wurden die Drähte dicker. Mit den dünnen Drähten und den angestrebten niedrigen Widerständen wäre man über zwei, drei Windungen nicht herausgekommen. Wenig Wicklungen mit dünnem Draht bedeute aber auch wenig Metalloberfläche, die heiß wird und damit wenig Fläche um viel Liquid zu zerstäuben.
Die alten Wicklungen mit dünnem Draht um Glasfaserdochte waren labberig. Man konnte die Glasfaser nicht herausziehen, ohne die Wicklung zu zerstören… und man konnte keine „leere“ Wicklung anfertigen und anschließend erst die Glasfaser hindurchziehen.
Die dickeren Drähte waren da im Vorteil, denn die Wicklungen waren steif. Da konnte an mit einer „Einfädelhilfe“ (ähnlich wie für die Nähnadel) sogar nachträglich Glasfaser einziehen. Aber… Glasfaser war halt zu „langsam“, weshalb Watte das Trägermaterial der Wahl wurde. Die ist zwar im Eimer, wenn sie mal trocken gedampft wird, aber sie ist billig, leicht zu bekommen und leicht auszutauschen, ohne dass man gleich neu wickeln muss.
Heute ist es also wirklich einfacher, was das Sammeln von Erfahrungen anbelangt.
Aber nun genug der geschichtlichen Vorrede, jetzt mal zu…
Grundlagen und Begriffe
Widerstandsdraht / Wickeldraht:
Der Draht aus denen man die Wicklung anfertigt, zeichnet sich dadurch aus, dass er einen relativ(!) hohen elektrischen Widerstand aufweist. Fließt nun Strom durch die Wicklung, wird die elektrische Energie in Wärmeenergie umgewandelt… der Draht wird heiß. Typische Widerstandsdrähte, die verwendet werden, sind Kanthal, Nickel-Chrom, Edelstahl und Titandraht. Die gibt es dann noch in verschiedenen Zusammensetzungen und Formen. Aber hier geht es um den absoluten Einstieg, weshalb ich auf diese speziellen Ausführungen erstmal nicht eingehe. Es gibt Rund- und Flachdrähte (quasi winzige „Metallbänder“). Für den Anfang sollten Runddrähte genügen.
Wicklung / Spule / Coil:
Die Wicklung wird aus dem Widerstandsdraht hergestellt. Der Draht wird spiralförmig gewickelt, so dass er so ähnlich aussieht wie eine Sprungfeder. Für den Einstieg genügt die sogenannte „spaced Coil“, also die Wicklung, bei der sich die einzelnen Windungen nicht berühren.
Trägermaterial / auch „Docht“:
Das Trägermaterial (manchmal auch als Docht bezeichnet) dient dazu, die Windungen der Coil permanent mit Liquid zu benetzen. Hier kommt Watte zum Einsatz. Bezüglich der Frage, welche Watte denn nun optimal ist, gibt es wahre Glaubenskriege. Für den Einstieg sollte man sich keine zu großen Gedanken machen. Am einfachsten ist es, man besorgt sich unkonfektionierte Dampfer-Watte, Kosmetikwatte, Wattepads (optimal hier die Muji-Pads, die man für kleines Geld bekommt) oder auch Friseurwatte (am Strang). Wichtig ist nur, dass es sich um Baumwoll- oder Viskosewatte handelt (oder eine Mischwatte aus beiden Materialien). Und man sollte darauf achten, dass es sich um langfaserige Watte handelt. Die billigen runden Wattepads aus der Kosmetikabteilung z.B. taugen selten, weil sie aus „Resten“, also kurzen Watteschnipseln zusammengesetzt sind und auseinanderbröseln, wenn man daraus einen Strang zum Einfädeln in die Wicklung formen möchte.
Wickelhilfe:
Da man eine Coil nicht „in der Luft“ wickeln kann, benötigt man eine zylindrische Wickelhilfe, um die man den Draht wickelt. Dafür kann man den Schaft eines Schraubendrehers verwenden oder… was optimal ist, weil man den Durchmesser damit genau kennt, Bohrer für die Bohrmaschine mit Bohrfutter. Letztere sollte man sich für den Einstieg in 2, 2.5 und 3 Millimeter Durchmesser besorgen. Damit ist man schon gut gerüstet.
Seitenschneider / Drahtschere:
Ein Seitenschneider zum Abschneiden des Wickeldrahtes ist erforderlich. Klar kann man viele Drähte (je nach Material und Dicke) auch mit einer Schere abschneiden, doch ist diese dann recht schnell im Arsch. Die Klingen sind zu weich, als dass sie dem harten Draht auf Dauer standhalten könnten. Für den Einstieg und die ersten `zig Wicklungen reicht der kleine Seitenschneider aus dem Werkzeugset vom Discounter. Ich empfehle aber gerade bei diesem Werkzeug, früher oder später auf ein Qualitätsprodukt zurückzugreifen. Referenz sind hier die Seitenschneider von Knipex. Die kosten auch nicht die Welt, arbeiten aber extrem präzise (es kann bei manchen Atomizern sehr darauf ankommen, die Drahtenden möglichst kurz abzuschneiden) und halten ewig.
Schraubendreher / Inbusschlüssel:
Je nach Wickeldeck des Atomizers, werden die Drahtenden meist mit Kreuzschlitzschrauben oder Inbusschrauben festgeklemmt. Meistens wird bei einem Verdampfer das passende Werkzeug mitgeliefert… leider oft nicht das hochwertigste. Ein gutes Set „Uhrmacherschraubendreher“ (Feinmechanik Schraubendreher) ist hier von Vorteil. Damit hat man alles, was einem beim Wickeln unterkommen kann.
Zange:
Eine Zange ist kein Muss, aber eine kleine Flachzange kann beim Halten und Strammziehen der Drahtenden helfen und die Wickelei bzw. die Anbringung der Wicklung vereinfachen.Schere:
Eine scharfe Schere, die zum Schneiden der Watte geeignet ist, muss auch vorhanden sein. Eine kleine, scharfe Bastelschere tut gute Dienste, oder auch die Hautschere aus dem Nagelnecessaire. Es gibt auch spezieller Wattescheren, aber das halte ich für übertrieben. Wichtig ist nur, dass man die Schere ausschließlich für das Schneiden von Watte verwendet und nicht für andre Materialien „missbraucht“. Dann bliebt sie scharf und funktioniert für unsere Zwecke.
Wickelsockel / Widerstandsmesser:
Ein Wickelsockel ist einfach ein relativ schwerer Sockel mit einem 510er Gewinde, also einem Innengewinde, in das man den Verdampfer einschrauben kann. So hat man weiterhin beide Hände frei, die man auch beide braucht. Es gibt solche Sockel in einfacher Ausführung oder welche, bei denen ein echter 510er Verdampferanschluss vorhanden ist und über den man den Widerstand der Wicklung bestimmen kann. Muss aber nicht unbedingt sein. In der Regel kann man auch den Akkuträger „missbrauchen“. Sofern er ausreichend Standfestigkeit bietet und dann ggf. noch als geregelter AT eine Widerstandsmessung aufweist, hat man alles, was man benötigt.
Pinzette:
Eine kleine Pinzette ist auch sehr sinnvoll. Hier kann man auch wieder auf Produkte aus dem Kosmetikbereich zurückgreifen. Am besten eine spitze (und wenn man für alles gerüstet sein will, zusätzlich eine flache) Pinzette. Die ist sehr wertvoll zum Durchziehen der Watte durch die Coil.
Wickeldeck:
Das Wickeldeck ist der Teil des Verdampfers, auf welchem sich die Posts befinden, an denen die Wicklung befestigt wird.
Post:
Als Post bezeichnet man den Anschluss-Pol, an den die Drahtenden der Coil befestigt werden.
Elektrische Grundlagen
Moderne Akkuträger können heute locker mit Wicklungswiderständen von 0.1 bis 3.50 Ohm umgehen (etliche sogar schon ab 0.05 Ohm und… Dicodes z.B. sogar bis rauf zu 5.0 Ohm). Bei Dampfen mit regelbarer Leistung („Watt-Modus“) spielt der Widerstand eine geringere Rolle, als früher. Trotzdem ist es wichtig, die elektrischen Grundlagen zu kennen und zu verstehen. Vor allem auch, weil die Belastbarkeit der Akkus ein nicht zu unterschätzender Sicherheitsaspekt ist.
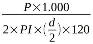
Wie bereits erwähnt, wird beim Betrieb eines Atomizers elektrische Energie durch den elektrischen Widerstand der Wicklung in Wärmeenergie umgewandelt. Man kommt beim Selbstwickeln mit vier elektrischen Größen in Berührung: Spannung (U in V = Volt), Strom (I in Ampere), Leistung (P in Watt) und Widerstand (U in Ohm; Ω).
Diese vier Parameter sind voneinander abhängig. Stellt man z.B. eine Wicklung mit einem Widerstand von 1.2 Ohm her und der Akkuträger ist auf eine Ausgangsspannung von 3.7 Volt eingestellt, so ist es sinnvoll, zu wissen, mit welcher Leistung man dampft und welcher Strom vorliegt. Akkuzellen haben eine maximale Belastungsgrenze, was den Strom anbelangt. Diese sollte nicht überschritten werden. Deshalb ist bei der angestrebten Leistung die Belastung des Akkus bei der Akkuwahl zu berücksichtigen.
In obigen Beispiel dampfen wir mit 11.4 Watt und es fließt ein Strom von knapp 3.1 Ampere.
Die Parameter zu berechnen ist nicht besonders kompliziert.
Hier die Formeln:

Noch einfacher ist es, wenn man z.B. die Webseite von sengpielaudio aufruft und den dortigen Online-Rechner nutzt.
Wie gesagt, mit modernen geregelten Akkuträgern sind die Berechnungen nicht mehr so wichtig, außer dass man bei der Wahl der Akkuzellen darauf achten sollte, ausreichend belastbare Akkus zu verwenden. In der Regel gibt der Hersteller an, welche Zellen für die maximale Leistung des Akkuträgers verwendet werden müssen.
Nun soll es aber an die erste Wicklung gehen! Da stellt sich zunächst einmal die wichtige Frage:
Wie viele Windungen sind erforderlich?
Nun, das hängt davon ab, welchen Widerstand man erreichen möchte (nicht mehr ganz so wichtig; s.o.), welchen Durchmesser (Innendurchmesser) die Wicklung haben soll und welche Drahtsorte man verwendet.
Solange man beim Gesamtwiderstand im Bereich dessen bleibt, was der Akkuträger zu leisten in der Lage ist, braucht man sich nicht zu viele Gedanken zu machen. Einsteiger sollten am besten im Leistungsmodus (Wattmodus) beginnen. Auf das Selbstwickeln für TC (Temperaturcontrol) und „Replay“ wird hier nicht eingegangen… das ist dann eher für Fortgeschrittene.
Interessanter ist der Innendurchmesser der Wicklung. Was man da herstellen möchte, hängt einerseits vom Wickeldeck des eigenen Selbstwickelatomizers ab, und andererseits auch von der angestrebten Leistung. Ein größerer Durchmesser erlaubt die Aufnahme von mehr Trägermaterial und damit auch eine etwas höhere Liquidkapazität.
Die meisten Selbstwickler mit Durchmessern von 22, 23, 25 mm erlauben einen Innendurchmesser von 3 mm. Für den Einstieg kann man also beruhigt 3, oder besser 2.5 mm wählen. „Besser 2.5 mm“ deshalb, weil bei geringerem Durchmesser die Gefahr verringert wird, dass die Wicklung irgendwo in Kontakt mit dem Metall des Atomizers kommt, was dringend vermieden werden muss.
Die Auswahl an Drahtsorten ist für den Einstieg auch nicht so wichtig. Je nach Metalllegierung und Drahtstärke ist der Widerstand bei einer bestimmten Drahtlänge unterschiedlich, aber der Widerstand hat, wie nun schon oft genug erwähnt, eine nicht ganz so große Bedeutung.
Ein guter Universaldraht für die ersten Wicklungen ist Kanthal A1. Der spricht ausreichend schnell an (erhitzt sich ausreichend schnell), ist robust und gut zu verarbeiten. Bei der Auswahl der Drahtstärke ist man auch kaum eingeschränkt. Allerdings würde ich für den Anfang keinen zu dünnen und auch keinen zu dicken Draht auswählen. Für den Einstieg empfehle ich Kanthal A1 mit einer Stärke von 0.4 bis 0.5 Millimetern. Dünnerer Draht hat den Nachteil, dass er nicht ganz so steif ist und man, insbesondere, wenn man noch ungeübt ist, beim Einziehen der Watte ggf. die Windungen verschiebt. Dickerer Draht ist dann schon recht widerspenstig und das Wickeln, wie auch die Befestigung an den Polen sind schwieriger.
Also egal welchen Draht man nutzt, welchen exakten Innendurchmesser… eine Wicklung mit sechs bis sieben Windungen ist für den Anfang ein guter Einstieg und bietet ordentliche Performance.
Welchen Verdampfer Ihr habt, weiß ich natürlich nicht. Meine Empfehlung für Einsteiger wäre der Flash-e-vapor (FeV). Wer sich nur einmal ausprobieren möchte, muss nicht unbedingt das Original erwerben. Eine Möglichkeit wäre aber auch der Kauf eines gebrauchten Originals. Wer feststellt, dass das Selbstwickeln Spaß macht und den den FeV mag, dem lege ich aber dringend ans Herz, sich ein Original zu gönnen. Die Qualität ist unübertroffen und der Erfinder und Hersteller hat es sich verdient, an seinem geistigen Eigentum zu verdienen.
Der FeV ist jedenfalls einfach zu wickeln, vermittelt dabei aber auch die Fähigkeiten, um mit anderen Wickeldecks klarzukommen.
Ich werde hier bei der Einstiegs-Beschreibung aber neben dem FeV noch das Bestücken des Kayfun 5² und der Brunhilde erläutern und zeigen. Das bildet nicht jedes existierende Deck ab, sollte aber für ein solides Grundwissen genügen.
Außerdem krame ich noch einen alten, soliden Tröpfler heraus, dessen Bestückung ich auch beschreibe und zeige.

Die erste Wicklung am Beispiel des FeV
Verwendete Geräte, Daten und Materialien:- Flash-e-vapor 4.5
- Heizdraht Kanthal A1 0.45 mm
- Wickelhilfe 2.5 mm
- Wicklungszahl: 7.5
- Widerstand: 0.75 Ohm
Zunächst schneidet man sich für diese Wicklung ca. 12 cm vom Wickeldraht ab. Das sind ein paar Zentimeter mehr, als man für sieben Windungen um eine 2.5 mm Wickelhilfe benötigt, aber der Überschuss ist erforderlich, um die Wicklung vernünftig anzubringen.

Nun nimmt man die Wickelhilfe (2.5 mm) in die eine Hand, legt den Draht an, hält ihn mit dem Daumen an der Wickelhilfe fest und wickelt den Draht, nach oben vom Körper weg beginnend, sieben Mal um die Wickelhilfe. Dabei sollte man darauf achten, die Windungen mit einem gleichmäßigen Abstand etwas unter einem Millimeter auszuführen und zu vermeiden, dass sich die Windungen berühren. Man kann das zwar sehr einfach korrigieren, aber das gleichmäßige Ausrichten ist einfacher, wenn man schon beim Wickeln ein wenig Abstand einhält.

Damit ist die Wicklung dann auch schon fertig. Einfach, oder?

Bitte jetzt aber nicht gleich die Wickelhilfe aus der Wicklung ziehen. Sie dient nämlich noch dem einfacheren Befestigen der Wicklung an den Befestigungsschrauben und dem gleichmäßigen Ausrichten der einzelnen Windungen.
Halbe oder ganze Windungen
Es hängt vom verwendeten Selbstwickelatomizer ab, ob man nur ganze oder ob man ganze plus eine halbe Wicklung macht.
Wird die Wicklung wie beim FeV „über“ den Anschlusspolen (Posts) angebracht, so muss man ganze plus eine halbe Windungen machen… das bedeutet, dass die beiden Drahtenden in die selbe Richtung zeigen. Das gilt grundsätzlich erstmal für alle Selbstwickler, bei denen die Wicklung „über“ oder „neben den Posts angebracht wird.

Bei Selbstwickelatomizern, bei denen die Wicklung „zwischen“ den Postst angebracht wird, braucht man ganze Wicklungen. Dann zeigen die Drahtenden der Wicklung in entgegengesetzte Richtungen.

Wicklung befestigen
Das Befestigen bzw. Installieren der angefertigten Wicklung hängt vom Verdampfer ab. Es gibt inzwischen einige Methoden zur Wicklungsbefestigung, die sich bei verschiedenen Verdampfern aber nur geringfügig unterscheiden.
Bei den ersten Selbstwicklern war das Prinzip nahezu immer gleich. Es gab zwei Anschlusspole (Posts), in welche ein Feingewinde hineingeschnitten war. In die Posts waren dann Schrauben mit Feingewinde geschraubt, um welche man die Drahtenden wickelte oder unter welche man sie einfach einklemmte (bei den dünnen Drähten von 0.16, 0.18 oder 0.2 mm) konnte man die Enden tatsächlich ein- oder zweimal um die Schraube wickeln. Mit den heute verwendeten dickeren Drähten ist das nicht mehr möglich. Man kann den Draht aber – je nach Form und Position des Posts durchaus eine halbe oder dreiviertel Umdrehung um die Schraube legen.
Der FeV ist ein Verdampfer, bei dem die Befestigung noch nach genau diesem Prinzip funktioniert.
Bei anderen Selbstwicklern sind die Posts z.B. geschlitzt. In diese Schlitze legt man die Drahtenden und klemmt sie mit einer senkrecht dazu verlaufenden Schraube (oft Madenschrauben) fest. Das ist komfortabel.
Dann gibt es noch „postless Decks“, bei denen die Drahtenden in Öffnungen am Boden des Decks gesteckt werden und dann seitlich mit Madenschrauben eingeklemmt. Vorteil: man muss hinterher kein Drahtende abschneiden. Nachteil: man muss die Drahtenden vor dem Installieren exakt auf die richtige Länge bringen (meist werden dafür passende Lehren mitgeliefert).
Drehrichtung der Schrauben
Bei allen Posts, bei denen die Drahtenden um oder unter Schrauben gelegt werden, gibt es ein“ehernes“ Gesetz: Die Drahtenden bei normalen rechtsdrehenden Schrauben (also Schrauben, die man im Uhrzeigersinn festdreht) immer in Drehrichtung um die Schraube legen!
Das hat einen Grund! Sobald der Schraubenkopf, der Draht und die Fläche des Posts Kontakt zueinander bekommen, findet zunehmende Reibung zwischen den drei Komponenten statt. Liegt der Draht in Drehrichtung zwischen Schraubenkopf und Post, dann wird er seine Position halten und eher noch enger um die Schraube gezogen. Legt man den Draht hingegen gegen die Drehrichtung darunter, wird der Draht infolge der Reibung unter dem Schraubenkopf herausgedreht. Das kann zu lockeren Befestigungen, Kontaktproblemen oder dazu führen, dass der Draht nach dem Anziehen der Schraube überhaupt nicht befestigt ist.
Diese Regel zu beachten, ist bei Decks, wo die Wicklung zwischen den Posts liegt, kein großes Problem. Man muss nur beim Herstellen der Wicklung darauf achten, dass die Enden in die richtige Richtung zeigen (also ob man beim Anfertigen der Wicklung auf der Wickelhilfe „zu sich hin“ oder „von sich weg“ wickelt… unbedingt vorher drüber nachdenken).
Es gibt Selbstwickelatomizer, bei denen kleine Unterlegscheiben unter den Befestigungsschrauben vorhanden sind. Diese verhindern, dass der Schraubenkopf bei Festziehen unmittelbar in Drehrichtung auf den Draht wirkt. Damit ist es dann egal, in welcher Richtung man den Draht unter die Schrauben legt.
„Ehern“ habe ich deshalb in Anführungszeichen gesetzt, weil es doch nicht so „ehern“ ist. Es gibt Verdampfer, bei denen eine „über“ oder „neben“ den Postst liegende Wicklung auf beiden Seiten innen oder außen angebracht werden müssen. Hier muss die Regel gebrochen werden. Und gerade der FeV ist ein solches Exemplar. Hier wird die Wicklung „über“ den Posts „innen“ befestigt. Die Befestigung des Drahtes am rechten Post erfolgt in Drehrichtung… also alles ok. Aber die Befestigung am linken Post erfolgt gegen die Drehrichtung. Man könnte versuchen, sich passende kleine Unterlegscheiben zu besorgen… oder man befestigt die Enden trotzdem „klassisch“ ohne Scheibe. Das geht durchaus. Man muss nur beim Festziehen ein paar Hinweise beachten.
Die Wicklung am FeV anbringen
Beim FeV ist das Festziehen der Schraube am rechten Post kein Problem, sofern man (was eh fast immer zu empfehlen ist) die Wickelhilfe in der Wicklung lässt.
Je nach Modell des FeV hat man ein oder zwei Bohrungen für die Anströmluft. Generell befestigt man die Wicklung aber so, dass die kleine Nase am Wickeldeck, mit dem die Verdampferkammerhülse korrekt ausgerichtet wird, zu einem selbst zeigt.
Nun legt man die Wicklung mit der Wickelhilfe vor die beiden Posts, so dass sich die Drahtenden zwischen diesen befinden.
Man ergreift das rechte Drahtende und legt es stramm, aber nicht zu fest von innen im Uhrzeigersinn um die rechte Befestigungsschraube (dafür eignet sich eine kleine Flachzange hervorragend) und zieht die Schraube an. Ordentlich fest, aber nicht „angeknallt“. Gleichermaßen verfährt man anschließend mit dem linken Drahtende der Wicklung. Auch diese legt man von innen um die Befestigungsschraube, diesmal allerdings gegen den Uhrzeigersinn. Hier sollte am besten wirklich die Zange zum Fest- und Strammhalten des Drahtes verwendet werden (oder man verschwendet ein wenig Draht und lässt links ein längeres Ende, das man mit der Hand gut stramm halten kann). Nun zieht man vorsichtig auch die linke Schraube an und achtet darauf, dass der Draht am Ende des Festziehvorgangs nicht unter dem Schraubenkopf herausgedrückt wird. Mit ein wenig Übung geht auch das nach ein paar Wicklungen leicht von der Hand.


Frustvermeidung: niemals mit Draht geizen! Widerstandsdraht ist ein Centprodukt. Richtig ärgerlich ist es, wenn man seine Wicklung fertig hat und die Enden zu kurz sind (es sollte deutlich mehr als ein Zentimeter sein). Dann ist es unnötig schwierig oder gar unmöglich, die Wicklung zu befestigen. Also nicht geizen, sonst verschwendet man im Endeffekt den gesamten Draht.
Die Wicklung beim FeV positionieren und ausrichten
Beim FeV liegt die Wicklung im Betrieb, wie bereits erwähnt, über den Posts und den Befestigungsschrauben. Man muss nach dem Festschrauben der Drahtenden also die komplette Wicklung nach oben über die Schrauben klappen. Das funktioniert mit Hilfe der Wickelhilfe ganz einfach. Man erfasst beide Enden der Wickelhilfe und schwenkt die Wicklung nach oben.
Nun kann man die einzelnen Windungen noch so zurechtrücken, dass sie gleichmäßige Abstände zueinander haben (beim Befestigen und Hochklappen können sie – je dünner der Draht, desto leichter passiert das – sich etwas verschieben). Das erledigt man, bei immer noch eingeführter Wickelhilfe, am besten mit der flachen Klinge eines kleinen Schlitzschraubendrehers.


Und nun endlich kann man die Wickelhilfe herausziehen (leicht drehende Bewegungen sind nicht verkehrt).
Überprüfung der Wicklung
Bevor man nun die überstehenden Drahtenden abknipst, sollte man die Wicklung nochmal optisch und schließlich auch durch eine Widerstandsmessung überprüfen. Wenn etwas nicht stimmt und man die Befestigung z.B. noch einmal korrigieren muss, dann sind die langen Drahtenden sehr zweckmäßig.
Erscheint die Wicklung optisch in Ordnung (gute Befestigung an den Schrauben, richtige Position, möglichst gleichmäßig ausgerichtete Windungen), biegt man die Drahtenden so nach oben, dass sie das Metall des Wickeldecks nirgendwo berühren.
Nun schraubt man den Verdampfer offen (also ohne Verdampferkammer) auf einen Akkuträger oder Wickelsockel mit Widerstandsmessung und misst den Widerstand.
Bei Kanthal A1, 0.45 mm, sieben Windungen um 2.5-mm Wickelhilfe sollte man bei ca. 0.7 bis 0.8 Ohm landen.
Weicht der Widerstand deutlich nach unten ab (also mehr als ca. 20 %), gibt es vermutlich irgendwo einen Masseschluss. an irgendeiner Stelle berührt der Draht das Wickeldeck.
Wird ein Fehler angezeigt (z.B. „Atomizer short“) oder ein Widerstand von 0 Ohm oder minimal darüber, hat man einen echten Kurzen erzeugt. Dann den Verdampfer nicht in Betrieb nehmen… nicht einmal kurz versuchsweise. Meist liegt es daran, dass das Drahtende vom Pluspol direkten Kontakt zum Metall des Wickeldecks hat oder sich im Verdampfer irgendein metallener Fremdkörper befindet, der zum Kurzschluss führt. Nun muss man alles noch einmal genau überprüfen.
Weicht der Widerstand hingegen deutlich nach oben ab (also mehr als ca. 20 – 30 %), dann liegt das meist an einer unzureichenden Befestigung der Drahtenden an den Posts. Ggf. noch einmal die Schrauben nachziehen und überprüfen, ob der Draht wirklich bündig an den Kontaktstellen der Posts anliegt.


Das Trägermaterial beim FeV einziehen
Wichtig: SAUBERE HÄNDE! Unbedingt die Hände spätestens zu diesem Zeitpunkt ordentlich waschen. Dreckige Hände ergeben dreckige Watte, die einen „dreckigen“ Geschmack bewirken kann. Schweiß schmeckt nicht… und Knoblauch oder Zwiebel erst recht nicht. 😉 😀
Jetzt kommt ein weitere wichtiger Moment. Man muss sich entscheiden, welche Watte man verwendet. Für den Einstieg ist es nicht verkehrt, wenn man sich speziell konfektionierte „Dampfer-Watte“ besorgt. Man muss nun einen passenden Strang von der Watte abtrennen (also aus der Friseurwatte-Schnur oder der Verbandswatte-Matte herauszupopeln). Ich verwende hier Muji-Wattepads, die ich für den Einstieg auch wirklich empfehlen kann. Die kosten um die 11 Euro für 140 Stück. Oder man bittet einen befreundeten Dampfer, der welche hat, um ein paar Stück. Mit einer Packung kommt man Jahre aus.
Für eine Wicklung mit 2.5 mm Innendurchmesser schneidet man sich nun mit einer scharfen Schere einen ca. 5 mm breiten Streifen ab (dabei darauf achten, längs und nicht quer zur Faserrichtung zu schneiden). Mit der seitlichen Kante der Pinzette zieht man nun die Deckschicht von beiden Seiten des Pads vorsichtig ab (muss man nicht, ist aber für den Nachfluss trotzdem noch etwas besser).


Nun zwirbelt man das eine Ende des Wattestrangs sachte zwischen Daumen und Zeigefinger und formt so eine Spitze, die gut durch die Wicklung passt. Jetzt lässt sie sich in die Wicklung einfädeln. Man zieht den Wattestrang vorsichtig durch die Wicklung und achtet darauf, dass dies nicht zu schwergängig, aber auch nicht zu leicht geht. Die richtige Wattemenge ist eine Frage der Erfahrung. Ohne Übung geht es nicht. und Fehlschläge muss man auch mal hinnehmen. Watte ist billig, da kann man sich durchaus ein paar Fehlversuche erlauben.

Ist die Watte durchgezogen – nicht zu stramm, nicht zu labberig – kann man beim FeV die Enden passend kürzen.


Man schneidet sie bei diesem Verdampfer bündig zur Außenkante der Posts ab, so dass die Schraubenköpfe von Watte bedeckt sind. An dieser Stelle liegen nämlich im Betrieb die Enden der Dochte auf.
Die Enden sollten aber auch nicht zu weit überstehen, weil sie sonst Kontakt zur Verdampferkammer haben und Liquid dort an der Wand der Kammer herunterlaufen kann, welches sich am Boden des Decks sammelt.
Nun kann man die Watte einmal mit Liquid tränken und den Selbstwickler mit dem Akkuträger „befeuern“. Es sollte dampfen, Knistern, vielleicht ein wenig sprotzen. Bläst man währenddessen ein wenig auf die Wicklung, bekommt man ein Gefühl dafür, wie viel Dampf die Wicklung erzeugen kann.


Neuer FeV bedeutet: keine Dochte
Wenn man einen neuen und unbenutzten FeV in Betrieb nimmt, dann muss man zuerst einmal Dochte in der Oberseite der Verdampferkammerhülse anbringen.
Neue FeV (Original) werden heute mit sogenannten DLC-Dochten geliefert. Das sind Hülsen aus Edelstahl mit zwei O-Ringen, die als Dochte fungieren. Sie sind für den Einstieg durchaus gut geeignet. Ich habe allerdings die Erfahrung gemacht, dass sie über 25 Watt Leistung nicht mehr wirklich ausreichend Liquidnachfluss garantieren. Ok… bis 30 Watt geht es gerade noch so, wenn man nicht zu oft kurz hintereinander zieht, aber über 25 Watt empfehle ich dringend selbstgemachte Dochte aus Edelstahlsieb (ESS).
Diese selbst gedrehten Dochte sind gut für niedrige Leistungen geeignet, ich habe sie aber auch schon mit 60 Watt versuchsweise genutzt. Auch da liefern sie ausreichend Liquid an das Trägermaterial. Ob mehr möglich ist? Keine Ahnung. Die 60 Watt waren nur ein Versuch. Ich dampfe meine FeV mit 33 bis 35 Watt, ohne Schrauben in den Zuluftlöchern. rDL mit mittlerer Leistung halt. Mein Ding. 😉
ESS-Dochte für den FeV
Dochte aus Edelstahlsieb für den FeV selbst herzustellen, ist keine schwarze Magie. Man braucht dafür ein Stückchen Edelstahlsiebgewebe (ESS) eine scharfe Schere, einen Nagel, eine Wickelhilfe oder einen Bohrer mit 1.2 oder 1.5 mm Durchmesser und etwas Geduld.
Zunächst schneidet man sich ein kleines Rechteck ESS (200er oder 300er Mesh… kostet ein mittlerer Bogen z.B. bei Zivipf keine 4 Euro) mit den Maßen 45 x 7 mm aus.
Anschließend zieht man das Stück mit der Schmalseite zwei-, dreimal über ein Lineal oder die Rückseite vom Brotmesser. Damit wird das Material schon leicht „gelockt“, dreht sich also ein wenig ein.
Nun legt man die Kante der Schmalseite auf den Nagel / die Wickelhilfe / den Bohrer und rollt langsam und gleichmäßig das Stück auf (like Klopapier). Man belässt die so entstandene Rolle auf der ESS-Wickelhilfe und probiert nun aus, ob sie sich schon durch eine der beiden Bohrungen an der Verdampferkammeroberseite schieben lässt. Meist ist das nicht der Fall. Dann rollt man das Dochtröllchen mitsamt der Wickelhilfe zwischen Daumen und Zeigefinger ein paar Mal hin und her (leichter Druck). Nach und nach wird das Röllchen einen kleineren Durchmesser aufweisen. Hat man das Gefühl, nun tut sich nichts mehr, dann kann man die Wickelhilfe auch rausziehen und das hohle Röllchen mit sanfteren Druck zwischen den beiden Fingern rollen, bis es endlich passt.



Der Docht darf nicht von selbst durch das Loch fallen, muss sich aber sehr leicht einführen lassen. Es darf kein zu großer Druck dafür erforderlich sein.
Passt der Docht, dann bastelt man einen zweiten.
Die erste Inbetriebnahme des selbst gewickelten FeV
Nun ist der Zeitpunkt gekommen, den FeV in Betrieb zu nehmen. Die Wicklung ist angebracht, die Watte durchgezogen und die Dochte sind einsatzbereit.
Bevor man die Verdampferkammerhülse des FeV auf das Wickeldeck steckt, sollte man die beiden O-Ringe an der Base mit etwas Liquid benetzen, damit es besser „flutscht“. Nun drückt man die Dochte von innen ein wenig aus der Verdampferkammer heraus und setzt die Hülse so auf, dass die kleine Nase an der Base in die Aussparung an der Hülse greift.



Dann schiebt man die Dochte mit sanften Druck zurück in die Hülse… gerade so weit, bis man einen leichten Widerstand spürt. Das ist der Moment, wo die Enden der Dochte auf den Watteenden zu liegen kommen.
Nun nur noch den Tank füllen, den Verdampfer über Kopf halten und den Tank aufschrauben.


Hat man alles richtig gemacht, wird er nicht auslaufen, nicht trocken laufen und sich ordentlich dampfen lassen.
Mit welcher Leistung Ihr den FeV dampft… Eure Entscheidung. Ob und mit welchen Schrauben für die Airflow Ihr dampft… ganz nach Eurem Geschmack. Der FeV ist kein offenes DTL-Ofenrohr. rDL ist das Maximum… und MTL geht völlig problemlos.
Herzlichen Glückwunsch! ihr habt zum ersten Mal einen FeV selbst bestückt.
Ist ein gutes Gefühl, oder?
Wenn irgendwas nicht passt, nicht sofort verzweifeln. Entweder Ihr fragt hier oder in einem der etablierten Foren nach, woran es liegen mag. Bitte beschreibt dabei Euer Problem so genau wie möglich… ebenso Euer Setup.
Nach der „spaced Coil“ die „Microcoil“
Verweilen wir noch ein wenig beim FeV und versuchen uns einmal an einer sogenannten Microcoil.
Die erste Wicklung, die wir angefertigt haben, war eine sogenannte „spaced Coil“. Das bedeutet, dass sich die einzelnen Windungen der Wicklung nicht berühren. Eine andere Art der Wicklung ist die „Microcoil“. Hier berühren sich die einzelnen Windungen.
Obwohl sich die Windungen berühren, nimmt der Widerstand aber nicht ab, obwohl man meinen mag, dass der Strom sich doch den Weg des geringsten Widerstands suchen würde, also nicht entlang des Drahtes, sondern entlang der „Röhre“, die wir mit der Microcoil hergestellt haben.
Dem ist aber nicht so, weil… der geringste Widerstand trotzdem entlang des Drahtes ist.
Erstens ist die Berührungsfläche aufgrund der runden Form des Drahtes sehr gering. Außerdem entsteht schon beim ersten Erhitzen des Drahtes an der Oberfläche eine dünne Oxidschicht, die nicht gut leitet. Also machen die Elektronen trotzdem „lieber“ den Weg durch das „Hamsterrad“.
Microcoil herstellen
Im Prinzip unterscheidet sich das Wickeln selbst kaum vom Wickeln einer spaced Coil. Allerdings kann man schon an dieser Stelle, die Windungen enger, womöglich schon aneinander liegend wickeln. Das hat den Vorteil, dass man beim späteren Zusammendrücken der Windungen kleinere Wege zurücklegen muss.
Die eigentliche Microcoil entsteht erst, wenn die Wicklung an den Polen befestigt ist.
Heizdrähte sind (vor allem wenn sie dicker sind) recht „steif“. Drückt man die Windungen einfach nur zusammen (z.B. mit einer Flachzange oder Pinzette), dann federn die Windungen wieder auseinander, sobald der Druck nachlässt. In Form bleiben sie nur, wenn man sie erhitzt, zusammendrückt und erst dann wieder loslässt, wenn sie abgekühlt sind.
Man kann die Windungen mit einem kleinen Brenner erhitzen (wurde früher so gemacht… als man, wenn man auf ESS-Dochten wickelte, das Gewebe ausglühen musste, um eine Oxidschicht zu bilden… da hatten viele einen solchen Brenner im Wickelwerkzeugkasten), einfacher und sinnvoller ist es aber, wenn man das den Akkuträger erledigen lässt.
Man betätigt den Feuerknopf des Akkuträgers und lässt die Wicklung kirschrot oder dunkel orangerot aufglühen. Dann hört man auf, zu feuern (!!!) und drückt rasch die Windungen mit einer Pinzette zusammen. Nun wartet man ein paar Sekunden ab, bis die Wicklung abgekühlt ist. Lässt man dann los, liegen die Windungen schon ordentlicher aneinander.
Meist muss man den Vorgang aber noch ein-, zweimal wiederholen, bis der Kontakt beständig, gleichmäßig und ordentlich ist.



Wichtig!!! Verwendet man eine Zange oder Pinzette aus Metall, darf man die Windungen nicht berühren, solange man mit dem Akkuträger feuert. Ansonsten fließt der Strom über das Werkzeug vom einen Anschluss“beinchen“ (also dem Drahtende der jeweils letzten Wicklung) zum anderen Anschlussbeinchen und der Draht brennt ganz flott durch. Dann ist die Wicklung im Eimer.
Es gibt Pinzetten mit Keramikspitze. Die kann man während des Aufglühens bereits zum Zusammendrücken nutzen. Allerdings sollte man den Draht vorher ohne Zusammendrücken, ein-, zweimal aufglühen lassen, damit sich auf dem noch blanken Wickeldraht eine Oxidschicht bildet. Drückt man den noch blanken Draht mit der Keramikpinzette zusammen und feuert, riskiert man auch, dass beim ersten Aufglühen die Wicklung irgendwo durchbrennt.
Das Informbringen durch aufglühen lassen und zusammendrücken ist aber auch keine Wissenschaft. Drückt man erst nach Loslassen des Feuertasters, passiert da nix und nach wenigen Durchgängen hat man eine schön gleichmäßig glühende Microcoil.
Die fertige Coil sollte man durchaus noch ein paar Mal aufglühen lassen und schauen, ob es an der Oberfläche kleine Punkte gibt, wo sie gleißend hell aufglüht. Das sind sogenannte Hotspots. Beseitigen lassen sich diese, indem man mit einem spitzen Gegenstand darüber „kratzt“. Erst wenn diese Punkte beseitigt sind, kann die Microcoil dann mit Watte bestückt und in Betrieb genommen werden.
Als nächstes zeige ich hier nun beispielhaft das Wickeln des SvoeMesto Kayfun 5².
Wicklung am Beispiel des Kayfun 5²
Verwendete Geräte, Daten und Materialien:
- Kayfun 5²
- Heizdraht Kanthal A1 0.45 mm
- Wickelhilfe 2.5 mm
- Wicklungszahl: 7
- Widerstand: 0.7 Ohm
Das Herstellen der Wicklung unterscheidet sich nur in einem einzigen, kleinen Punkt von der Vorgehensweise beim FeV. Man macht nämlich genau eine halbe Windung wenigerr, so dass die Drahtenden in entgegengesetzte Richtungen zeigen. Beim 5² wird die Wicklung nämlich zwischen den Posts angebracht. Und zwar „liegend“… soll heißen: Die Drahtenden befinden sich unten und die Wicklung darüber.


Wicklung befestigen
Man schraubt den 5² auf einen Wickelsockel oder auf einen Akkuträger und löst die Madenschrauben zur Wicklungsbefestigung an beiden Posts. Danach legt man die Wicklung dazwischen und führt die Drahtenden in die Schlitze der Posts ein. Nun nur noch die Madenschrauben wieder anziehen (dabei darauf achten, dass die Wicklung gleichmäßigen Abstand zu beiden Posts hat). Fertig!
Jetzt wieder die Windungen ausrichten (oder, wenn man will, die Coil zur Microcoil formen, wie oben beschrieben), den Widerstand überprüfen und anschließend die überstehenden Drahtenden abknipsen.



Das Trägermaterial einziehen
Man bereitet einen Wattestrang mit einer Länge von ca. 6 cm vor. Dann wird ein Ende wieder zusammengezwirbelt und der Strang durch die Wicklung gefädelt. Anschließend schneidet man beide Enden des Wattestrangs so ab, dass sie gut einen Zentimeter über die Verdampferkammerwand hinaus ragen.

Nun wird es ein wenig (wenig!) tricky (dafür sparen wir uns aber das Anfertigen von Dochten… die braucht der 5² nicht). Man ergreift jeweils ein Ende des Wattestrangs und legt ihn senkrecht nach unten in die Verdampferkammer, bis sie leicht auf dem Boden der Verdampferkammer aufliegt. Dabei muss man darauf achten, dass man den „Knick“ der Watte nicht zu „stramm“ werden lässt. Es muss ein leichter Bogen werden.

Jetzt die Watte ordentlich mit Liquid tränken und mal zur Probe befeuern. Sieht‘s gut aus? Na dann…

Den Kayfun 5² in Betrieb nehmen
Bevor man den Tank mit der Verdampferkammerhülse aufschraubt, wieder sämtliche O-Ringe mit etwas Liquid „schmieren“. Dann den Tank draufschrauben. Und zwar bis zum Anschlag, also bis es sich nicht fester ziehen lässt. Wenn der Tank derart festgeschraubt ist, ist die Liquidzufuhr geschlossen und man kann den Tank befüllen. Dazu schraubt man die obere Kappe des Tanks ab, füllt diesen auf und schraubt den Tankdeckel wieder zu.
Nun öffnet man die Liquidcontrol, indem man den Tank zwei volle Umdrehungen losschraubt.
Tipp: Wenn man die Watte vor dem Draufschrauben des Tanks ordentlich mit Liquid tränkt, kann man, ohne zu warten, dass sich die Watte mit dem Liquid im Tank vollsaugt, sofort losdampfen.
Jetzt geht es mit der Brunhilde weiter…
Wicklung am Beispiel der Brunhilde
Mit der Brunhilde kommen wir zu einer „fortgeschritteneren“ Variante des Selbstwickelns.
Verwendete Geräte, Daten und Materialien:
- Brunhilde
- Heizdraht Kanthal A1 0.45 mm
- Wickelhilfe 2.5 mm
- Wicklungszahl je Wicklung : 6.5
- Gesamtwiderstand: 0.33 Ohm
Dual Coil
In der Brunhilde kommen statt nur einer Coil zwei Coils zum Einsatz (Dual Coil). Dabei sind einige Punkte zu beachten. Das Anbringen von zwei Wicklungen kann etwas tricky sein, insbesondere wenn die Posts das so nicht speziell vorsehen. Allerdings sind Selbstwickler ohne eigene Befestigung für zwei Coils kaum noch am Markt. In der Geschichte der Selbstwickler war es aber häufig so, dass man die Drahtenden beider Coils mit einer Schraube befestigen musste. Für Menschen mit weniger als vier Händen war das teilweise eine arge Fummelei. Inzwischen hat sich das aber geändert, so dass man beide Wicklungen nacheinander anbringen kann… die Brunhilde gehört dazu.
Der wichtigste Punkt ist aber: Beide Coils müssen den gleichen Widerstand aufweisen. Man muss exakt auf die Zahl der Windungen achten… und darauf, dass man „ordentlich“ wickelt.
Außerdem sollte man im Hinterkopf behalten, dass der Widerstand durch zwei Coils geringer ist, als der Widerstand nur einer der Wicklungen. Und zwar genau um die Hälfte. Für eine Dual Coil (DC) mit beispielsweise 0.5 Ohm braucht man zwei Coils mit 1.0 Ohm.
Beim Betrieb wollen DC mit ordentlich „Wumms“ befeuert werden. Es ist nämlich wesentlich mehr Material im Spiel, das erhitzt werden muss. Es ist ja nicht nur doppelt so viel Draht, wie bei einer Single Coil (SC; nur eine Coil) vorhanden, sondern pro Coil auch noch mehr Material, um den höheren Widerstand der beiden Einzelwicklungen zu erreichen.
Nehmen wir als Beispiel mal eine Bestückung mit 0.45 mm Kanthal, 2.5 mm Wicklungsdurchmesser, ca. 1 mm Anschlussdraht-Länge bis zum Post, die 0.5 Ohm haben soll. Die Gesamtlänge des Drahtes muss dann 54.84 mm sein.
Für eine DC mit den selben Parametern, muss jede Einzel-Coil auf 1.0 Ohm kommen. Dafür benötigt man pro Coil 109.68 mm Draht. Das ist das Vierfache. Also deutlich mehr Material… und deshalb braucht man halt auch deutlich mehr „Wumms“.
Um den Effekt ein wenig abzumildern, verringert man gerne den Gesamtwiderstand. Deshalb wickle ich hier als Beispiel einen Gesamtwiderstand von 0.33 Ohm.
Wir fertigen für die Brunhilde zwei Coils mit jeweils sechseinhalb Windungen an (1/2 = beide Drahtenden zeigen in eine Richtung).
Dochte für die Brunhilde
Bevor wir die Coils an den Posts anbringen, müssen wir die Brunhilde noch mit den Dochten bestücken. Die Brunhilde wird mit viel Dochten aus Edelstahlseil geliefert, die auch die korrekte Länge aufweisen.
Vor der ersten Nutzung, ist es dringend nötig, die Dochte von Fertigungsrückständen zu befreien, also gut zu reinigen.
Perfekt ist es, wenn man etwas medizinischen Alkohol verwendet (es geht aber auch Wodka), in denen man die Dochte badet. Anschließend spült man sie gut – sehr gut – mit Wasser aus.
Wichtig ist auch hier wieder einmal: Dochte nur mit gut gewaschenen Fingern berühren.
Jetzt schiebt man die vier Dochte in die vier Öffnungen am Boden des Decks… und das war es auch schon.
Wenn man kein wirklich dickflüssiges Liquid verwendet, können die Dochte so genutzt werden. Bei der Verwendung dickflüssiger Liquids wird gerne das „Entkernen“ der Drahtseile empfohlen. Dafür drückt man die Seele (den Kerndraht im Seil) mit einem passenden Nagel heraus, ergreift das Ende mit einer Zange und zieht diese mit einer leicht drehenden Bewegung (Drehrichtung im Drehverlauf der Manteldrähte) komplett heraus. Dabei muss man darauf achten,das sich die Manteldrähte nicht „entzwirbeln“.
Wicklungen anbringen
Das Befestigen der Wicklung ist bei der Brunhilde sehr einfach. Man löst die Madenschrauben an den Posts und legt die Enden in die Aussparungen ein (Wicklung auf der Wickelhilfe). Dann Schrauben festziehen, Windungen ggf. ausrichten, fertig.
Bei DC bietet es sich an, die angebrachten Wicklungen noch ohne Watte zu befeuern und zu schauen, ob beide Coils möglichst gleichzeitig und gleichmäßig aufglühen.






Das Trägermaterial einziehen
Zwei Coils… zwei Wattestränge! Wir benötigen zwei Wattestränge mit einer Länge von sechs bis sieben Zentimetern. Die Spitzen wieder etwas zwirbeln und dann die Stränge einfädeln. Nun die Enden so abschneiden, dass xxx cm über das Ende vom Post hinausragen. Die Enden werden u-förmig umgelegt und die Watteenden so auf den Boden des Decks gelegt, dass sie die Enden der Dochte bedecken.
Alles, wie gewohnt ordentlich mit Liquid tränken und zur Probe befeuern.



Die Brunhilde in Betrieb nehmen
Schließlich die O-Ringe befeuchten und die Topcap aufsetzen.
Nun dreht man die Topcap so weit, dass die Bohrung in dieser über den drei eingravierten Tröpfchen zu liegen kommt. Nun kann man den Tank befüllen. Anschließend die Topcap zurückdrehen, um die Bohrung für die Zuluft freizugeben.
Das war es auch schon. Die Brunhilde braucht richtig ordentlich Leistung, damit sie ihre Stärken ausspielen kann. 30 Watt sind nach meiner Auffassung das Minimum. Ich persönlich dampfe sie rDL bei 50 Watt.
Kommen wir nun zum letzten Beispiel… dem simplen Tröpfler.
Wicklung am Beispiel des Tobh Atty Tröpfelverdampfers
Verwendete Geräte, Daten und Materialien:
- Tobh Atty
- Heizdraht Kanthal A1 0.45 mm
- Wickelhilfe 3.0 mm
- Wicklungszahl je Wicklung : 6.5
- Gesamtwiderstand: 0.37 Ohm
Für das Tröpfler-Beispiel habe ich ganz tief in meinem Bunker gegraben und den Tobh Atty ausgegraben, einen Dual-Coil Tröpfler mit fetten 30 mm Durchmesser.

Tröpfelverdampfer
Tröpfelverdampfer sind Atomizer ohne Tank. Bei ihnen wird das Liquid (durch das Drip Tip – deshalb heißt es nämlich aus so) auf das Trägermaterial getröpfelt. Das ermöglicht sehr hohe Leistungen, sofern man rechtzeitig und fleißig nachtröpfelt.
Sehr beliebt sind sie auch zum Verkosten von Liquids. Will man das Liquid wechseln, zieht man einfach die alte Watte heraus und zieht neue ein. Man muss den Verdampfer nicht umständlich reinigen und den Tank ausspülen.
Schon recht früh wurden Selbstwickel-Tröpfler so konstruiert, dass man eine größere Menge Watte in der Verdampferkammer unterbringen kann. Damit waren mehr Züge möglich, ohne nachtröpfeln zu müssen. Bei einigen ging das schon in Richtung eines kleinen „Wattedepots“.
Coils herstellen
Beim Atty liegen die Coils neben den Posts. Deshalb brauchen wir eine zusätzliche halbe Windung, damit die Drahtenden in eine Richtung zeigen.
Gewickelt wird hier nun 6 1/2 mal. Nix besonderes mehr, oder?

Coils anbringen
Bei Coils mit halben Wicklungen liegt immer ein Drahtende höher, als das andere. Beim Atty sind deshalb die Posts mit unterschiedlich hohen Bohrungen für die Drahtaufnahme versehen. Im Masse-Post („Minuspol“) in der Mitte des Decks ist die Bohrung ein paar Millimeter höher angebracht, so dass die eingebaute Wicklung horizontal und nicht leicht diagonal liegt. Das muss man beim Befestigen beachten. Die Coils werden praktisch „über Kopf“ oder „auf dem Kopf stehend“ befestigt. Damit liegt das jeweils linke Drahtende höher, als das rechte.
Während für den Pluspol zwei Posts am Rand des Wickeldecks vorhanden sind, müssen sich die Drahtenden des Minuspol den einen Post in dem Mitte teilen. Trotzdem ist das Anbringen der Wicklungen recht einfach.
Man bringt zunächst eine der Coils in Position und führt die Drahtenden durch die Bohrungen. Nun zieht man die Befestigungsschraube des Pluspols fest. Den Minuspol lässt man noch in Ruhe. Dann dreht man das Deck um 180° (oder um die berühmten baerbockschen 360°), führt die zweite Coil ein und zieht auch hier den Pluspol fest.
Nun zieht man die beiden gegenüberliegenden Drahtenden am Minuspol (mittlerer Post) so zurecht, dass auch hier gleichmäßige Abstände entstehen und zieht zuletzt die Minuspolschraube an.



Jetzt die Wicklung zur Probe befeuern und schauen, ob beide Coils gleichmäßig und so ziemlich gleichzeitig aufglühen.

Das Trägermaterial einziehen
Bei Tröpflern ist es, wie schon erwähnt, von Vorteil, wenn man möglichst viel Trägermaterial (Watte) in der Verdampferkammer unterbringt. Deshalb hier nicht geizen… der Atty bietet ordentlich Platz. Da wir beim Atty Wicklungen mit 3 mm Durchmesser gebaut haben, muss der Wattestrang ein wenig dicker sein. Wir schneiden/zupfen und zwei Stränge von ca. 6 cm Länge zurecht, verzwirbeln ein Ende und führen es von der Mitte des Decks nach außen hin durch die Coils. Wir ziehen das verzwirbelte Ende ein wenig aus der Coil (Außenseite) heraus und schneiden es bündig ab.
Das andere Ende lassen wir so, wie es ist, bauschen es ggf. ein wenig auf und legen es auf den Boden des Decks. Und zwar links von mittleren Post, also hinter der gegenüber liegenden Wicklung. Das darf schon ein schönes Paket sein. Vor der bestückten Wicklung sollte keine Watte liegen, weil sich dort die Zuluft-Bohrungen in der Hülse befinden. Die Luft soll ja ungehindert auf die Coil treffen.
Das ganze wiederholen wir mit der zweiten Wicklung.
Jetzt dürfen wir die Watte schön fett mit Liquid sättigen und mal zur Probe befeuern.
Bläst man beim Pobefeuern leicht von oben auf die Coils, bekommt man schon eine Vorstellung, wie viel Dampf da entsteht. Da kommt schon ordentlich was.



Den Atty in Betrieb nehmen
Ist alles ok, befeuchtet man die O-Ringe (mächtig dicke Dinger beim Atty) und setzt die Hülse auf. Nun kann man die Hülse verdrehen. Damit gibt man für die Zuluft eine unterschiedliche Zahl von Bohrungen frei. Also eine, zwei oder drei… je nach gewünschtem Zugverhalten.
Jetzt noch etwas Liquid durch das Driptip nachträufeln (die Watte war nach der Probe hoffentlich noch nicht ganz trocken) und losdampfen.
Die Nutzung von Tröpflern erfordert ein wenig Aufmerksamkeit und Gefühl. Man merkt aber schon, wenn die Watte zu trocken wird, ohne dass sie so trocken ist, dass sie verschmort. Dann muss man halt nachtröpfeln.
Um eine Vorstellung über die Liquidmenge zu bekommen, die man eintröpfeln kann, ist es zweckmäßig, die Tropfen schon beim ersten Tränken der Watte mitzuzählen. Dann weiß man, wie viel Liquid der Tröpfler speichern kann. Da man im Betrieb die Watte aber nicht komplett trocken dampft, ist es beim Nachtröpfeln immer etwas weniger, was man „nachkippen“ darf.
So… das war es mit der Einführung zum Selbstwickeln anhand einiger Beispiele.
Klar ist… jeder Selbstwickel-Atomizer möchte anders gewickelt werden. Die Grundprinzipien bleiben aber gleich. Man sollte sich für den eigenen Verdampfer möglichst eine Anleitung anschauen (selten vom Hersteller, inzwischen auch seltener auf Video-Kanälen) und das Gehirn einschalten. Es ist sinnvoll, vor dem ersten Wickeln darüber nachzudenken, wie der Verdampfer funktioniert. Wie ist die Befestigung der Drahtenden realisiert, wie wird das Liquid zugeführt? Wie funktioniert und wo liegt die Airflow (die Luftzufuhr sollte nicht von Watte verdeckt werden)?
Trotzdem ist das Selbstwickeln keine schwarze Magie und keine Wissenschaft. Ich erachte es für zweckmäßig, sich anfangs wirklich auf relativ einfache Wicklungen mit einfachem Draht zu beschränken, diese aber auch selbst anzufertigen (keine vorgewickelten Coils nutzen). Die Wickelei geht einem dann recht schnell in Fleisch und Blut über. Und wenn man dann neugierig ist oder seine Selbstwickler optimieren möchte, kann man immer noch andere Drähte benutzen (Flachdraht, verzwirbelte Runddrähte, Clapton, Alien und wie sie alle heißen… gibt es alles als „Meterware“ ungewickelt). Wenn man die Grundlagen beherrscht, gibt es kaum noch Grenzen.
Wie oft neu wickeln?
Anfangs, wenn einem das Wickeln Spaß macht, man also Blut geleckt hat, wird man, wenn eine Wicklung „durch“ ist (nicht durchgebrannt, sondern „verbraucht“, also verkrustet oder zugesetzt), neu wickeln. Das ist aber nicht unbedingt nötig (ich wickle alle vier bis sechs Wochen neu, auch wenn die Wicklung nur ca. eine Woche ok ist). Man kann die eingebaute Wicklung nämlich auch reinigen und mit neuem Trägermaterial bestücken. Wenn man als Einsteiger mal eine besonders gelungene Wicklung hinbekommen hat, dann sollte man sich durchaus auch länger daran erfreuen können.
Wicklung reinigen und neu bestücken
Nach einer gewissen Zeit der Nutzung lässt der Geschmack einer Wicklung merklich nach. Ggf. nimmt auch die Dampfentwicklung spürbar ab. Oder es schmeckt „verkohlt“… wartet man mit dem neuen Wickeln oder dem Reinigen deutlich zu lange, kann es sogar vorkommen, dass man beim Dampfen plötzlich kleine, schwarze Bröselchen im Mund hat.
Höchste Zeit, die Wicklung auszutauschen… oder zu reinigen.
Häufig muss man gar nicht neu wickeln, sondern es genügt, die Watte auszutauschen und die Coil zu reinigen. Der Draht hält deutlich länger, als man vermuten mag.
Das Reinigen ist ebenfalls keine Wissenschaft.
Zunächst muss man das Trägermaterial, also die Watte aus der Wicklung ziehen. Danach reinigt man die Wicklung selbst. Das funktioniert am bestem mit reichlich fließend Wasser und mechanischer Arbeit. Gut geeignet sind harte Zahnbürsten. Es gibt aber auch andere Bürsten mit festen Borsten, die man nutzen kann… sie müssen nur klein genug sein.


Mit der nassen Bürste oder direkt im feinen, leichten Wasserstrahl beginnt man nun damit, die Verschmutzung von den Windungen zu bürsten.
Das kann ziemlich mühsam sein. Gerne verbleiben einzelne Wattefasern, die sich zwischen den Windungen „vernuddeln“. Deshalb ist es empfehlenswert, diese vor dem Wässern durch kurzes trockenes Befeuern quasi zu verbrennen. Die Asche lässt sich nun mit Wasser und Bürste leicht entfernen.
In der Regel, wenn man nicht sehr, sehr früh die Wicklung auffrischt, weist der Draht aber auch mehr oder weniger harte Verkrustungen auf. Diese entstehen zu einem kleinen Teil durch Verunreinigungen des Liquids (Schwebteilchen), auskristallisierte Liquidbestandteile und zu einem großen Teil aus dem Staub der Zuluft.
Solche Verschmutzungen lassen sich mit Wasser und Bürste nicht einfach so entfernen. Dafür braucht man entweder stärkere mechanische Einwirkung (wobei die Gefahr besteht, dass man den Draht beschädigt oder die Windungen unrettbar derangiert) oder man mach den Dryburn (3börn).
Dryburn / 3börn
Der 3börn funktioniert annähernd so, wie die Pyrolyse-Reinigung des Backofens. Die verschmutzte Oberfläche wird stark erhitzt, wodurch sich die Verschmutzung zersetzt, während das zu reinigende Material nicht beschädigt wird. Die Rückstände der zersetzten Verschmutzung kann dann mit einfacheren Mitteln entfernt werden (Wasser / Bürste).
Man bringt dafür die verschmutzte Wicklung ohne Trägermaterial zum Aufglühen und lässt sie anschließend abkühlen. Dabei ist darauf zu achten, dass man sie nicht zu stark erhitzt, also zu hell aufglühen lässt, weil dies das Material der Wicklung (Metalldraht) in Mitleidenschaft ziehen kann. Man feuert also so lange, bis der Draht „kirschrot“ bis „dunkelorange“ aufglüht und lässt dann den Feuerknopf los. Nun lässt man die Wicklung auskühlen. Es ist übrigens unschädlich, wenn man so ca. 10 Sekunden abwartet und die Wicklung dann unter den Wasserstrahl (kaltes Wasser) hält. Dann kann man auch schon ein erstes Mal bürsten. Diesen Vorgang wiederholt man so oft, bis die Verschmutzungen entfernt sind. Es empfiehlt sich nicht, die noch sichtbar glühende Coil unter kaltes Wasser zu setzen… sie also „abzuschrecken“. Das kann dazu führen, dass das Metall spröde wird und die Wicklung bald durchbrennt.
Auch ein zu hohes erhitzen (Weißglut) muss vermieden werden, weil man damit langsam in Temperaturbereiche vordringt, bei denen sich das Metall zersetzt.

Ist man optisch mit der freigebrannten (3gebörnten) Coil zufrieden und sie ist wirklich ausgekühlt (zur Vermeidung unschöner Brandings an den Fingerspitzen) sollte man einmal mit der Fingerkuppe in Längsrichtung (Drahtverlauf) über die Coil streichen. Fühlt sie sich nun sehr rau an, dann kann man die Wicklung durchaus noch nutzen. Allerdings sind ihre Tage gezählt. Die Oberfläche ist zu porös geworden. Entweder brennt der Draht beim nächsten 3börn durch (selten sogar auch mal im Betrieb… insbesondere wenn man versehentlich eine Dryhit hat, also das Trägermaterial trockengedampft hat). Außerdem verschmutzt ein solcher Draht wesentlich schneller, weil die Verkrustungen besser an der porösen Oberfläche haften bleiben.

Fühlt sich die Oberfläche aber halbwegs glatt an, dann spült man sie nochmal gründlich ab, trocknet sie (Küchentuch) und kann die Coil mit neuer Watte bestücken (wie oben beschrieben).
Auf diese Weise kann die Coil an sich locker zwei, drei – manchmal sogar noch länger – Monate halten und man muss nur die Watte ersetzen.
Berechnung des Widerstands
Wer mechanisch oder ungeregelt dampft, der möchte punktgenau auf einen bestimmten Widerstandswert wickeln. Mancher will das aber auch, selbst wenn er geregelt dampft. Nun stellt sich die Frage, wie viele Windungen bei welchem Durchmesser man mit welchem Drahtmaterial und bei welcher Drahtstärke man machen muss.
Das kann man „zu Fuß“ berechnen. Ist aber wirklich nicht trivial und auch fehleranfällig, weil sehr viele Parameter zu beachten sind.
Zum Glück gibt es aber Wickelrechner. Welche als Apps für Android, welche als eigenständige Programme für den Computer und auch Online-Rechner.
Nach Apps müsst Ihr selbst suchen. Ich nutze sowas nicht (mein Smartphone ist zum Telefonieren, die Uhrzeit anzeigen, Messaging und zur Verwendung als Wecker oder Kurzzeit-Timer da).
Sehr gute und viel genutzte Online-Rechner sind Steam Engine und Vaper Tools. Die kann ich uneingeschränkt empfehlen.
Dann wird es vermutlich noch Rechner auf Excel-Basis geben… nur Excel nutze ich nicht.
Und Programme für Windows. Nutze ich auch nicht.
Ich habe aber vor ein paar Jahren, aus genau dem Grund, dass es nix anständiges für Linux gibt, selbst ein solches Programm geschrieben. Es hat eine grafische Oberfläche, eine Material-Datenbank (für verschiedene Drahtsorten) inklusive Materialeditor… und es zeigt auch Heatflux und die elektrischen Größen an.
Wer mag, kann sich den „Keulkulator“ hier als Programm für Linux oder Windows herunterladen. Es handelt sich um ein Open Source Programm, das unter der GPL veröffentlicht ist. Wer mag, kann sich das Programm auch aus dem Quelltext selbst bauen… oder nach den eigenen Bedürfnissen anpassen.
An Tagen wie diesen…
…wünscht man sich beileibe keine „Unendlichkeit“, sondern dass sie schnell vorübergehen. 😉 😀
Selbstwickeln ist also wirklich keine Wissenschaft. Aber es gibt so Tage, bei denen man ganz schnell merkt: Heute klappt es gar nicht. Man bekommt keine gleichmäßigen Windungen hin. Die verdammte Coil verrutscht ständig beim Festschrauben. Der haardünne Wattestrang ist immer noch zu dick, um sich in die 3-mm-Coil ziehen zu lassen… also mehr Gewalt… aaargh, jetzt haben sich die Wicklungen verzogen.
Tage, bei denen einem das Wickeln absolut nicht von der Hand gehen will.
Die Tage gibt es wirklich… da könnt Ihr jeden erfahrenen selbstwickelnden Dampfer fragen.
Was tun?
Spätestens nach dem zweiten misslungenen Versuch packt man den Selbstwickler weg und dampft ein anderes Gerät. An diesem Tag wird man keine anständige Wicklung hinbekommen… oder keine, die einen zufriedenstellt… oder keine, die länger als drei Tage hält. Mit dem Kopf durch die Wand bringt‘s nicht! Glaubt mir einfach. Das passiert auch mir ab und an. Ich glaube, dass passiert jedem… egal, wie lange er schon wickelt. Mit steigender Erfahrung werde solche Tage seltener… aber sie verschwinden nie völlig.
Einfach am nächsten Tag frisch ans Werk gehen. Oft flutscht das dann nur so.
So… hier endet nun die Anleitung für Einsteiger. Ich gehe hier nicht auf besondere Drähte ein, nicht auf Triple- oder Quadcoils und ähnliche fortgeschrittene Techniken ein.
Hier sollte nur die Basis gelegt werden. Tipps und Anleitungen zum fortgeschrittenen Wickeln findet man in den Communitys (gut auffindbar vor allem in den klassischen Online-Foren). Die Dampferzuflucht hält die in meinen Augen umfangreichste Beschreibung spezieller Wicklungen und Wickeldrähten bereit, aber auch bei den Dampf-Piraten, bei Vapoo, im Dampfer-Board oder beim DTF wird man fündig… oder es wird einem auf Nachfrage bereitwillig geholfen.
Und da sind wahre Spezialisten unterwegs.
Mehr
Warum performt die Coil nicht ordentlich oder kokelt ständig?
Heatflux / WärmestromdichteDas Wickeln klappt… aber man ist trotzdem unzufrieden, denn der Verdampfer kokelt bei der Leistung, die man eigentlich für normal und moderat hält… oder es kommt nur ein „laues Lüftchen“, es spritzt und sprotzt, obwohl man für den erreichten Widerstand schon ordentlich Leistung auf den Verdampfer gibt.
An dem Punkt sollte man überprüfen, ob die Drahtstärke (Durchmesser) für die Parameter passend ist. Völlig unbedeutend ist der Widerstand einer Wicklung nämlich doch nicht. Insbesondere wenn man den Widerstand, die Leistung und die Gesamtoberfläche des Drahtes der Wicklung ins Verhältnis setzt.
ACHTUNG! Es wird ein wenig technisch…
Teile dieser Ausführungen könnten den blutigen Anfänger verwirren. 😉 😀
Heatflux bzw. Wärmestromdichte sind die Stichworte.
Der Heatflux gibt – vereinfacht gesagt – an, wie viel Leistung auf die Oberfläche der Wicklung wirkt. Die Oberfläche hängt von der Länge des Heizdrahtes und seiner Stärke ab. Je größer der Durchmesser des Drahtes, desto größer auch der Umfang und damit die Oberfläche des Drahtes. Er wird in Milliwatt pro Quadratmillimeter ( mW x mm²) angegeben.
Die Berechnung ist gar nicht so kompliziert, wenn man denn die Formel kennt.

Einige Wickelrechner bieten die Anzeige des Wertes aber auch an… so z.B. Steam Engine, womöglich auch die eine oder andere Mobilapp (Microcoil Pro hatte die Anzeige, die App scheint es aber nicht mehr zu geben) oder mein Keulkulator.
„Grüne“ Werte, also der Bereich, wo der Heatflux passt, liegen so ca. zwischen 200 mW/mm² und 400 mW/mm². Wenn die Werte stark von dem Bereich abweichen, dann treten die eingangs erwähnten negativen Effekte ein.
Mal einfach erklärt: bei gleichem Draht und gleicher Leistung wird zwar bei unterschiedlicher Länge annähernd dieselbe Wärmeenergie abgegeben, aber auf unterschiedlichen Flächen und damit auch unterschiedliche Temperaturen.
Simple Regel in diesem Fall:
Kurzer Draht (wenig Windungen, kleinerer Widerstand) = hohe Temperatur
Langer Draht (mehr Windungen, höherer Widerstand) = niedrigere Temperatur
Wo der persönliche „Wohlfühlbereich“ liegt, muss man selbst herausfinden.